发布日期:2026-02-26 10:18 点击次数:65

闻乐 发自 凹非寺
字节Seed王人动手用化学想想搞大模子了——
深度推理是共价键、自我反想是氢键、自我探索是范德华力?!

传统的大模子长想维链推理基本把AI的想考历程等同于线性结构。
但很厚情况下,后续的一个环节论断,可能需要回及其去考证早早提倡的假定。
CoT把这种非线性的依赖推测忽略了。
字节Seed在论文《The Molecular Structure of Thought》中初度给大模子的长链想维界说了分子式结构。

在这种分子拓扑中,三种键是怎么互极度合的?
好的推理像分子结构
团队把DeepSeek-R1、gpt-OSS等强推理模子的长链想维拆成一步一步的,然后给每一步之间的“向上”打上标签。
打完标签发现,通盘有用的长链想维里,其实就三种基础算作走动组合。
第一种叫深度推理,像共价键一样结子。
等闲来说即是肖似“因为A是以B,因为B是以C”的硬逻辑鞭策。
团队在语义空间里作念了一个很形象的量化分析,把模子的每一步想考王人当成一个点,看这些点临了会散成多大一个圈。
圈子越小,阐发模子越没跑题,想考越聚焦。
铁心发现,加上深度推理之后,这个散点圈径直缩水22%。
深度推理确乎起到了收束杂念、锁定中枢逻辑的环节作用。

第二种叫自我反想,像氢键一样有弹性但稳固。
肖似于“等等,我刚才那步是不是想错了”“让我重新查验一下前边的假定”,能把背面的想考拐归来跟前边的节点呼应上,变成一种折叠感。
团队测了模子自我反想时的想维轨迹,把每一步想考王人看谚语义空间里的一个点,然后运筹帷幄反想时会跳回多远、落在何处。
发现81.72%的反想要津,王人会精确落回之前依然变成的靠谱想路区域里。
还对比了反想前后的想维范围,反想前,语义空间体积是35.2,反想后,径直压缩到31.2。
再看聚类铁心就更了了了,反想之后,归并类正确想路的点会牢牢抱团,而那些零碎、跑偏的分支会被自动推开。
也即是说,自我反想氢键能把靠谱逻辑揉得更紧实、把跑偏想法筛出去、稳住总共推理大局,让长链想考不再松散紊乱。

第三种叫自我探索,像范德华力一样弱,UEDBETapp官网版但笼罩面广。
这个就肖似于“要不我们试试这个角度”“有莫得另一种可能性”,在语义空间里找新的解题旅途。
量化分析默契,加上探索行动之后,模子在语义空间里的想维笼罩范围能从23.95扩大到29.22。
诚然想路一掀开稳固性就会着落,容易跑偏想歪,但能让模子跳出死巷子,不卡在局部最优解里,的确找到全新的解题道路。
筹议发现,通盘强推理模子的三种想维行动比例和诊治法则王人高度一致,关联性独特0.9,阐发有用长链推理存在通用的稳固拓扑结构。

你可能以为“共价键”“氢键”仅仅个譬如,但论文发现,这个譬如背后藏着严格的数学对应。
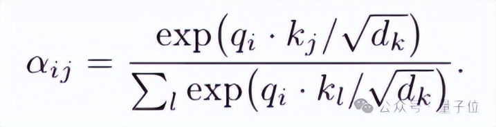
在Transformer里,注见地权重的运筹帷幄形势长这样:

眼熟吗?这和统计力学里的玻尔兹曼折柳一模一样:

要是把负注见地分数看作能量,那么注见地权重即是模子在语义空间里按“能量”高下罗致旅途的概率即是能量越低,被选中的概率越高。
论文进一步分析了三种行动对应的“注见地能量”。
深度推理每每发生在相邻要津之间,米兰app官网能量最低;
自我反想会跳回较远的要津,能量中等;
自我探索跳得更远,能量最高.
这就讲解了为什么强推理模子的三种键比举例斯稳固。
因为模子的注见地机制自己就在追求最粗劣量的推理旅途,而深度推理、反想、探索刚巧对应了不同距离下的能量层级。
语义同分异构体和智能熵减
接着团队还抛出了语义同分异构体的宗旨。
这词儿是借的化学,相同的分子式,原子伙同形势不同,就能搞出性质统统不同的物资。
放到推理里即是,相同的题目,相同的宗旨点,用不同的”化学键“组合去解,出来的推理链条不错统统不一样,但王人能解对。

但不是通盘异构体王人相宜拿来教模子。
这里就要引入一个环节宗旨熵减。
在热力学里,并立孤身一人系统老是自觉走向紊乱(熵增),而一个有用的长链推理历程,本色上即是在语义空间里接续裁减不细目性——
从一堆可能的宗旨中,渐渐不断到唯独正确的谜底。这个历程即是“熵减”。
而“注见地能量”机制,恰是模子竣事熵减的用具。
模子的注见地自然偏好能量更低的旅途。
当深度推理(粗劣量)被反复选中,反想(中等能量)把前后逻辑折叠起来,探索(高能量)偶尔探路但不喧宾夺主,总共系统的“推理熵”就会快速着落,逻辑火速不断。
这如论文里说的,惟有那些能推动熵快速裁减的“化学键”组合,才是模子的确能学会、能握续进化的稳固态。
这在执行中有个很典型的风光,从R1和OSS两个不同强推理模子中蒸馏出的推理轨迹,语义层面的内容相似度高达95%,但混在总共检修,模子反而崩溃了。
这阐发,长链推理的环节是想路结构必须稳固、和谐,模子武艺学得会。
{jz:field.toptypename/}MoLE-Syn:从零合成稳固推理结构
发现问题就要处理问题。
基于这一整套发现,团队搞了个叫MoLE-Syn的秩序,来从零合成稳固的推理结构。
具体操作就两步。
第一步,从强推理模子(比如R1、QwQ、gpt-OSS)的推理链里,抽出一张行动挪动概率图。
这张图里每个节点是一种推理行动(化学键),每条边是从一个行动跳到另一个行动的概率。

第二步,拿着这张图,让浅显的提醒模子照着图上画的概率去生成推理链。
用这个秩序从零合成的检修数据,喂给Llama能够Qwen,恶果濒临径直蒸馏R1的水平。

并且这样作念有一个大平正即是资本低。只消拿到那张行动挪动图,浅显模子就能我方出产及格的长链推理数据。
团队把用MoLE-Syn动手化过的模子拿去作念强化学习,发现跑起来还至极稳。
比拟径直用蒸馏数据动手化的模子,MoLE-Syn版的在RL历程中收益握续增长,轰动也小得多。

这阐发一动手植入的想维结构够稳,背面的强化学习就不会出现逻辑偏移。
这项筹议的崇拜东说念主为字节Seed算法众人黄文灏,曾在微软亚洲筹议院担任筹议员。
第一作家是哈尔滨工业大学博士、字节Seed实习筹议员陈麒光。
相助单元还包括北京大学、2077AI Foundation、南京大学、M-A-P、中南大学。
不得不说,这波操作有点夙昔薛定谔拿物理学公式推生物学那味儿了。
给大模子推理这个卷得飞起的范围,开了个挺清亮的新脑洞。
论文地址:https://arxiv.org/abs/2601.06002
— 完 —
量子位 QbitAI · 头条号签约
脸色我们,第一时刻获知前沿科技动态